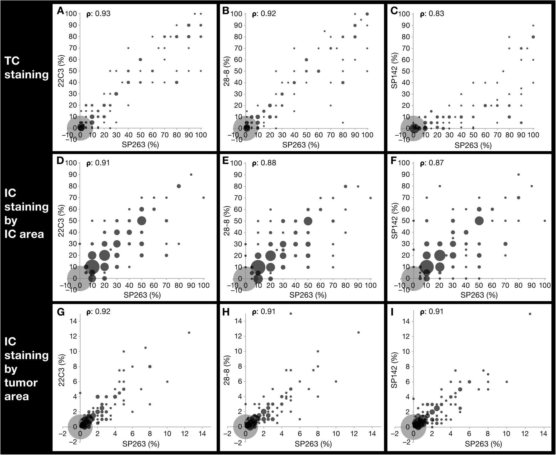
Fig. 2

Comparison between PD-L1 IHC 22C3 pharmDx, PD-L1 IHC 28–8 pharmDx and VENTANA SP142 versus VENTANA SP263. Pairwise comparison between PD-L1 IHC 22C3 pharmDx (a, d, g), PD-L1 IHC 28–8 pharmDx (b, e, h) and VENTANA SP142 (c, f, i) assays versus VENTANA SP263 for TC and IC PD-L1 staining and their corresponding pairwise Spearman rank correlation coefficients (ρ). Pairwise Spearman rank correlation coefficients without zeros were 0.90, 0.89, and 0.82 for tumor cell (TC) staining; 0.77, 0.73, and 0.65 for immune cell (IC) staining by IC area; and 0.85, 0.83, and 0.80 for IC staining by tumor area for PD-L1 IHC 22C3 pharmDx, PD-L1 IHC 28–8 pharmDx, and VENTANA SP142 versus VENTANA SP263, respectively. IC immune cell, IHC immunohistochemistry, PD-L1 programmed cell death ligand-1, TC tumor cell